Официальное опубликование правовых актов
ОФИЦИАЛЬНОЕ ОПУБЛИКОВАНИЕ
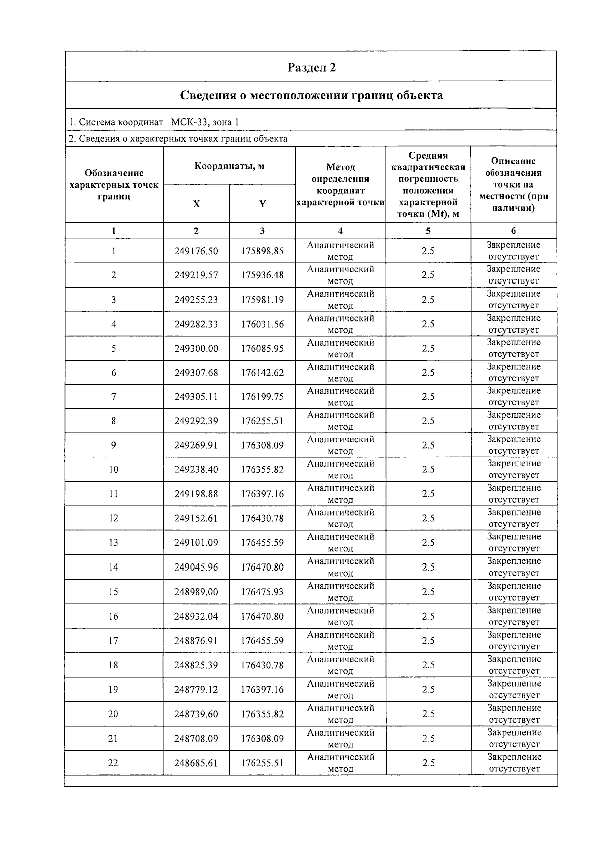
Приказ Министерства природопользования и экологии Владимирской области от 14.04.2026 № 39-н
"Об установлении зон санитарной охраны источников питьевого, хозяйственно-бытового и технического водоснабжения ООО "Молочный век"
(Зарегистрирован 14.04.2026 № МПЭ2026-039)
Номер опубликования: 3301202604150002
Дата опубликования: 15.04.2026
Страница №13 из 18:
Увеличить