Официальное опубликование правовых актов
ОФИЦИАЛЬНОЕ ОПУБЛИКОВАНИЕ
Постановление Губернатора Волгоградской области от 04.08.2016 № 551
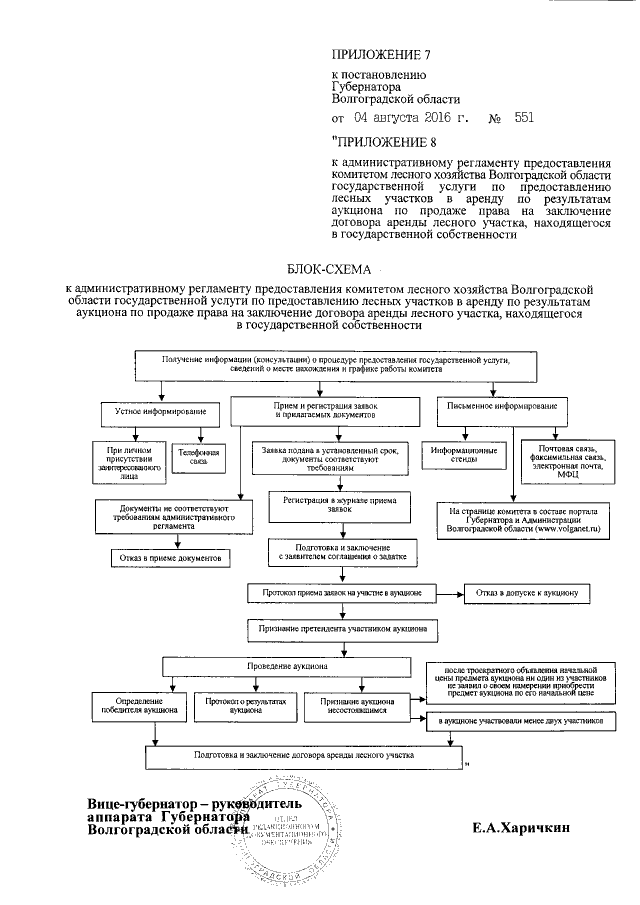
"О внесении изменений в постановление Губернатора Волгоградской области от 29 мая 2013 г. № 500 "Об утверждении административных регламентов предоставления комитетом лесного хозяйства Волгоградской области государственных услуг"
Номер опубликования: 3400201608080008
Дата опубликования: 08.08.2016
Страница №31 из 54:
Увеличить