Официальное опубликование правовых актов
ОФИЦИАЛЬНОЕ ОПУБЛИКОВАНИЕ
Постановление Администрации Волгоградской области от 22.05.2017 № 261-п
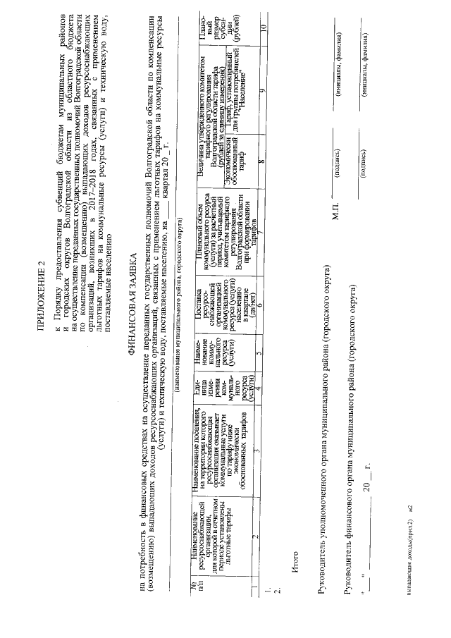
"Об утверждении Порядка предоставления субвенций бюджетам муниципальных районов и городских округов Волгоградской области из областного бюджета на осуществление переданных государственных полномочий Волгоградской области по компенсации (возмещению) выпадающих доходов ресурсоснабжающих организаций, возникших в 2017 - 2018 годах, связанных с применением льготных тарифов на коммунальные ресурсы (услуги) и техническую воду, поставляемые населению"
Номер опубликования: 3400201705250001
Дата опубликования: 25.05.2017
Страница №13 из 17:
Увеличить