Официальное опубликование правовых актов
ОФИЦИАЛЬНОЕ ОПУБЛИКОВАНИЕ
Постановление Администрации Волгоградской области от 22.05.2017 № 251-п
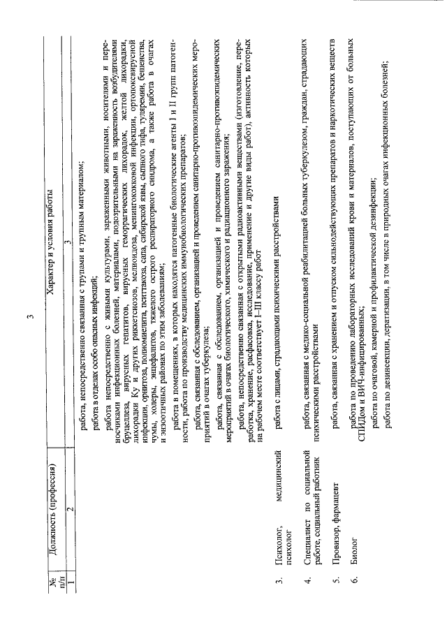
"Об утверждении перечня должностей медицинских, фармацевтических и иных работников медицинских организаций, подведомственных комитету здравоохранения Волгоградской области, подлежащих добровольному страхованию за счет средств областного бюджета на случай причинения вреда жизни или здоровью таких работников при исполнении ими трудовых обязанностей"
Номер опубликования: 3400201705250002
Дата опубликования: 25.05.2017
Страница №4 из 7:
Увеличить