Официальное опубликование правовых актов
ОФИЦИАЛЬНОЕ ОПУБЛИКОВАНИЕ
Постановление Губернатора Волгоградской области от 02.04.2026 № 155
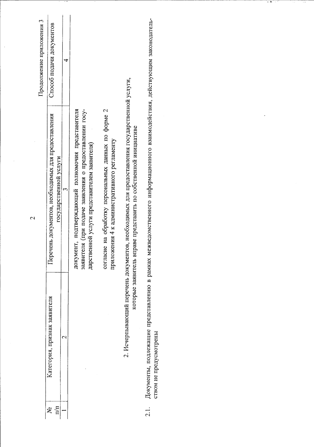
"Об утверждении административного регламента предоставления комитетом природных ресурсов, лесного хозяйства и экологии Волгоградской области государственной услуги "Утверждение проектной документации лесных участков в отношении лесных участков в составе земель лесного фонда"
Номер опубликования: 3400202604030001
Дата опубликования: 03.04.2026
Страница №13 из 22:
Увеличить