Официальное опубликование правовых актов
ОФИЦИАЛЬНОЕ ОПУБЛИКОВАНИЕ
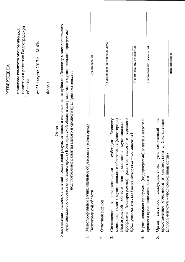
Приказ комитета экономической политики и развития Волгоградской области от 25.08.2017 № 43н
"Об обеспечении реализации постановления Администрации Волгоградской области от 22 августа 2017 г. № 443-п "Об утверждении Порядка предоставления субсидий бюджетам монопрофильных муниципальных образований (моногородов) Волгоградской области для реализации муниципальных программ (подпрограмм) развития малого и среднего предпринимательства"
Номер опубликования: 3401201708280005
Дата опубликования: 28.08.2017
Страница №6 из 11:
Увеличить