Официальное опубликование правовых актов
ОФИЦИАЛЬНОЕ ОПУБЛИКОВАНИЕ
Приказ комитета природных ресурсов, лесного хозяйства и экологии Волгоградской области от 02.09.2024 № 1324-ОД
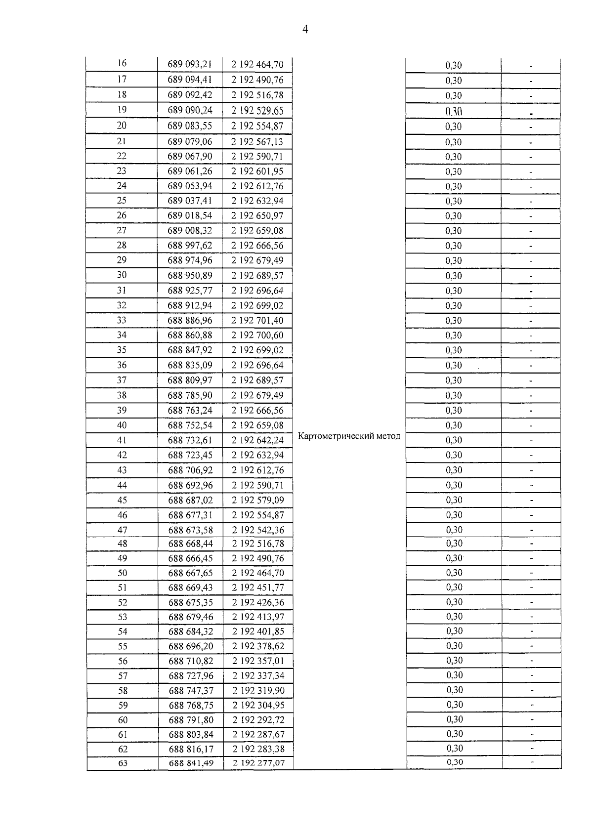
"Об утверждении решения об установлении зоны санитарной охраны водозаборной скважины № 1961, расположенной по адресу: Волгоградская область, Котовский район, с. Бурлук, ул. Горная, д. 1а, используемой в целях питьевого и хозяйственно-бытового водоснабжения Бурлукского сельского поселения (кадастровый номер земельного участка 34:14:010003:1161)"
Номер опубликования: 3401202409060011
Дата опубликования: 06.09.2024
Страница №10 из 11:
Увеличить