Официальное опубликование правовых актов
ОФИЦИАЛЬНОЕ ОПУБЛИКОВАНИЕ
Приказ комитета тарифного регулирования Волгоградской области от 04.12.2024 № 45/11
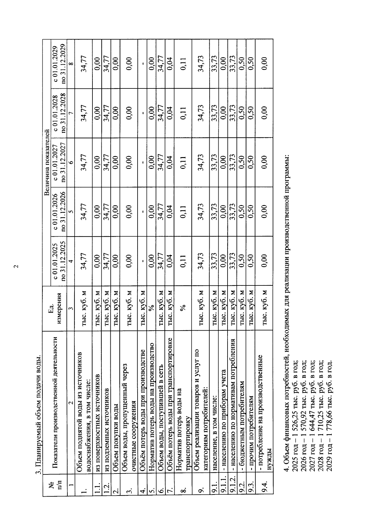
"Об установлении тарифов на питьевую воду (питьевое водоснабжение) для потребителей муниципального бюджетного учреждения Ильменского сельского поселения Октябрьского муниципального района Волгоградской области "Ильменское" и нормативов потерь питьевой воды в централизованных системах водоснабжения при ее производстве и транспортировке для потребителей муниципального бюджетного учреждения Ильменского сельского поселения Октябрьского муниципального района Волгоградской области "Ильменское" на 2025 - 2029 годы"
Номер опубликования: 3401202412090047
Дата опубликования: 09.12.2024
Страница №7 из 9:
Увеличить