Официальное опубликование правовых актов
ОФИЦИАЛЬНОЕ ОПУБЛИКОВАНИЕ
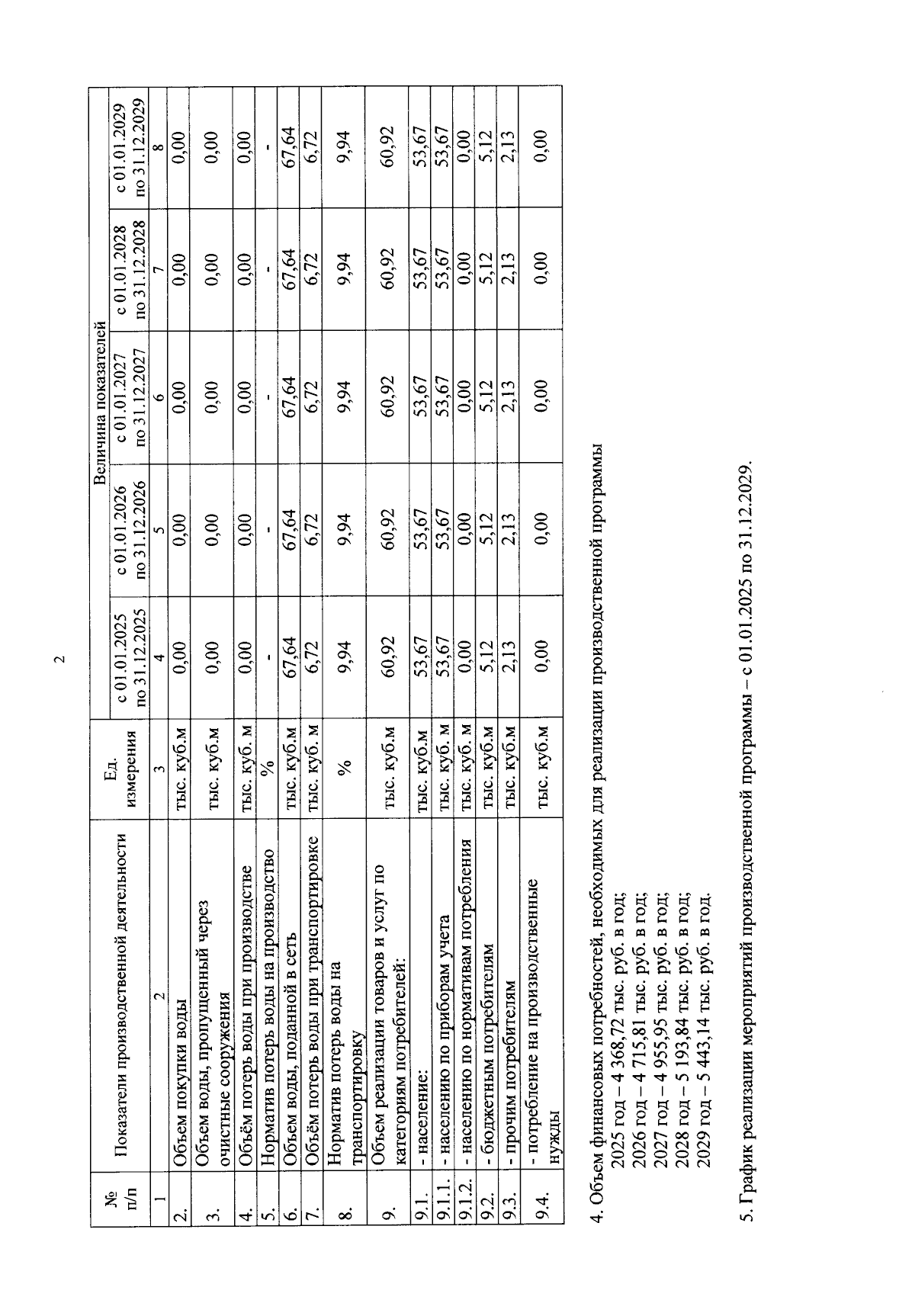
Приказ комитета тарифного регулирования Волгоградской области от 12.12.2024 № 48/31
"Об установлении тарифов на питьевую воду (питьевое водоснабжение) и водоотведение для потребителей МУП КХ "Антиповка" Антиповского сельского поселения" Камышинского муниципального района Волгоградской области"
Номер опубликования: 3401202412160034
Дата опубликования: 16.12.2024
Страница №6 из 14:
Увеличить