Официальное опубликование правовых актов
ОФИЦИАЛЬНОЕ ОПУБЛИКОВАНИЕ
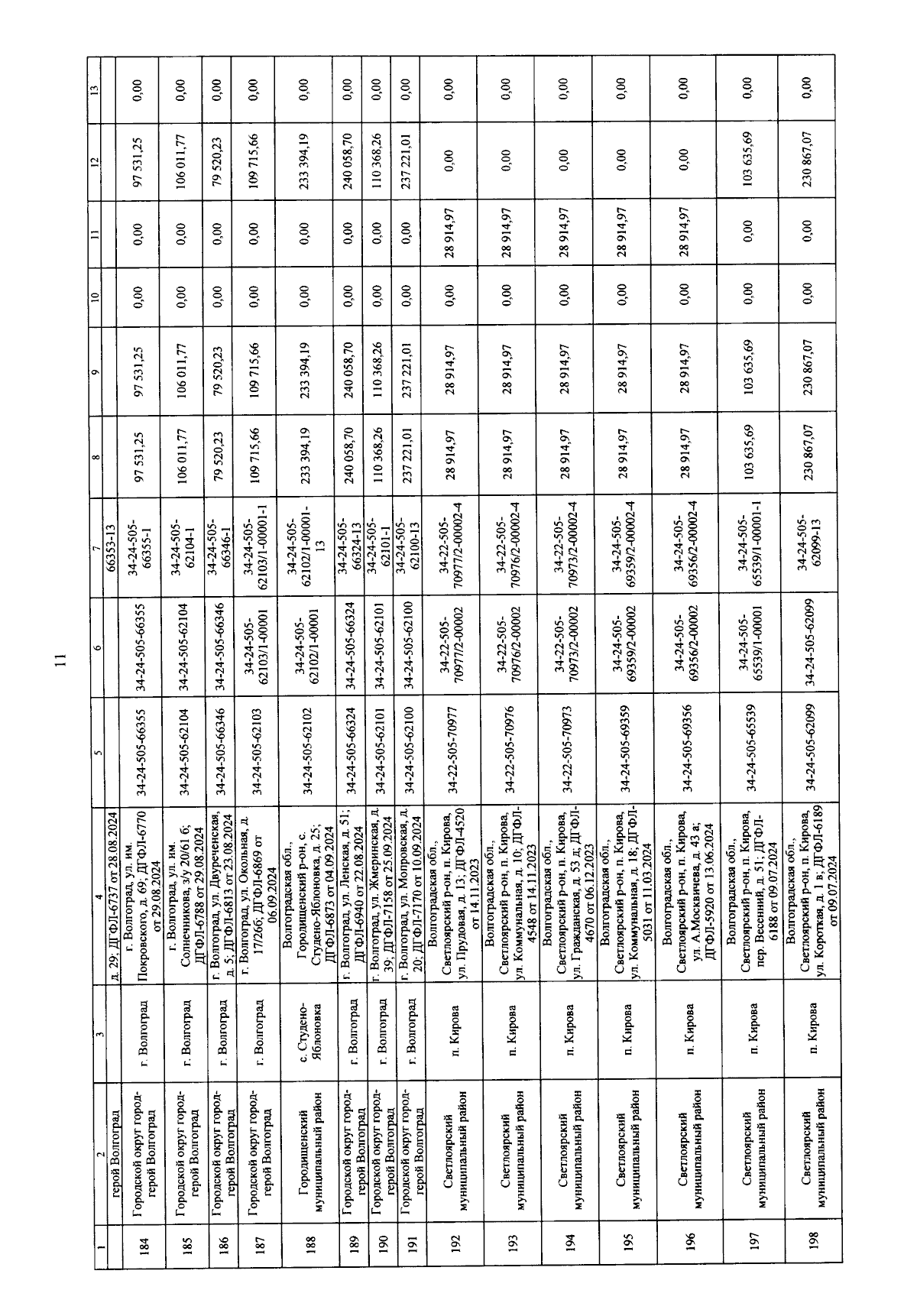
Приказ комитета тарифного регулирования Волгоградской области от 26.03.2025 № 11/2
"Об утверждении размера экономически обоснованных расходов ООО "Газпром газораспределение Волгоград" на выполнение мероприятий по технологическому присоединению в рамках догазификации за 3 квартал 2024 года"
Номер опубликования: 3401202503270005
Дата опубликования: 27.03.2025
Страница №12 из 98:
Увеличить