Официальное опубликование правовых актов
ОФИЦИАЛЬНОЕ ОПУБЛИКОВАНИЕ
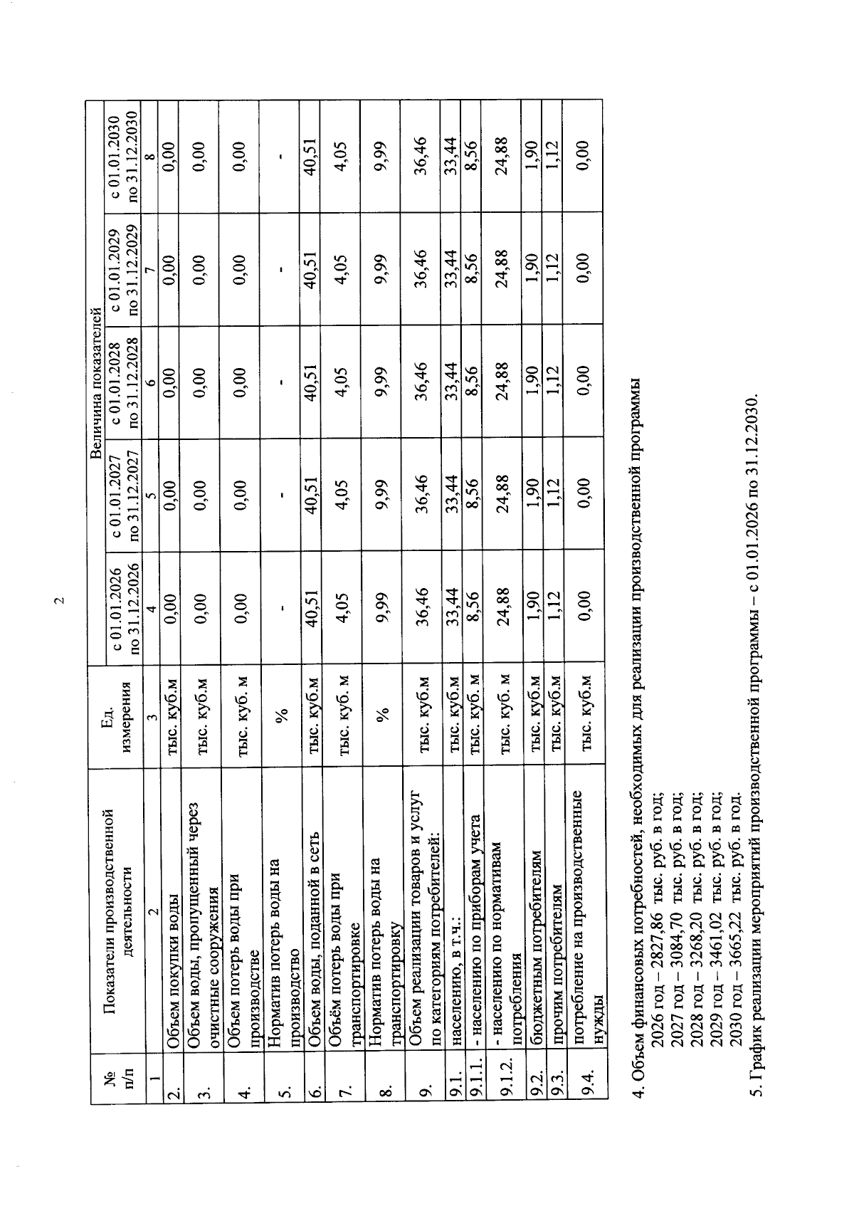
Приказ комитета тарифного регулирования Волгоградской области от 10.12.2025 № 47/61
"Об установлении тарифов на питьевую воду (питьевое водоснабжение) и техническую воду для потребителей муниципального казенного учреждения Панфиловского сельского поселения "Благоустройство и досуговое обслуживание" Новоаннинского муниципального района Волгоградской области"
Номер опубликования: 3401202512150060
Дата опубликования: 15.12.2025
Страница №6 из 11:
Увеличить