Приказ комитета государственной охраны объектов культурного наследия Волгоградской области от 12.01.2026 № 1-н
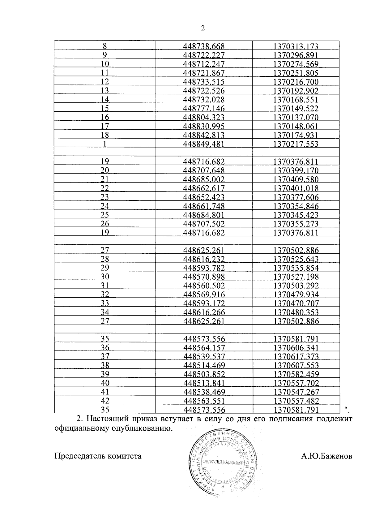
"О внесении изменения в приказ комитета государственной охраны объектов культурного наследия Волгоградской области от 19 ноября 2025 г. № 100-н "Об утверждении границ и режима использования территории объектов культурного наследия федерального значения, являющихся памятниками археологии, расположенных на территории Светлоярского и Старополтавского районов Волгоградской области"
"О внесении изменения в приказ комитета государственной охраны объектов культурного наследия Волгоградской области от 19 ноября 2025 г. № 100-н "Об утверждении границ и режима использования территории объектов культурного наследия федерального значения, являющихся памятниками археологии, расположенных на территории Светлоярского и Старополтавского районов Волгоградской области"
Номер опубликования: 3401202601130003
Дата опубликования:
13.01.2026
