Официальное опубликование правовых актов
ОФИЦИАЛЬНОЕ ОПУБЛИКОВАНИЕ
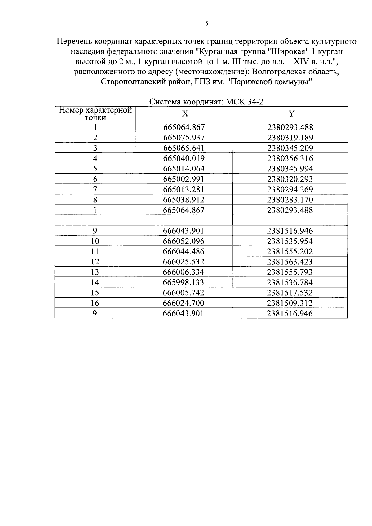
Приказ комитета государственной охраны объектов культурного наследия Волгоградской области от 27.01.2026 № 7-н
"Об утверждении границ и режима использования территории объектов культурного наследия федерального значения, являющихся памятниками археологии, расположенных на территории Старополтавского, Котельниковского и Урюпинского районов Волгоградской области"
Номер опубликования: 3401202601280002
Дата опубликования: 28.01.2026
Страница №7 из 36:
Увеличить