Официальное опубликование правовых актов
ОФИЦИАЛЬНОЕ ОПУБЛИКОВАНИЕ
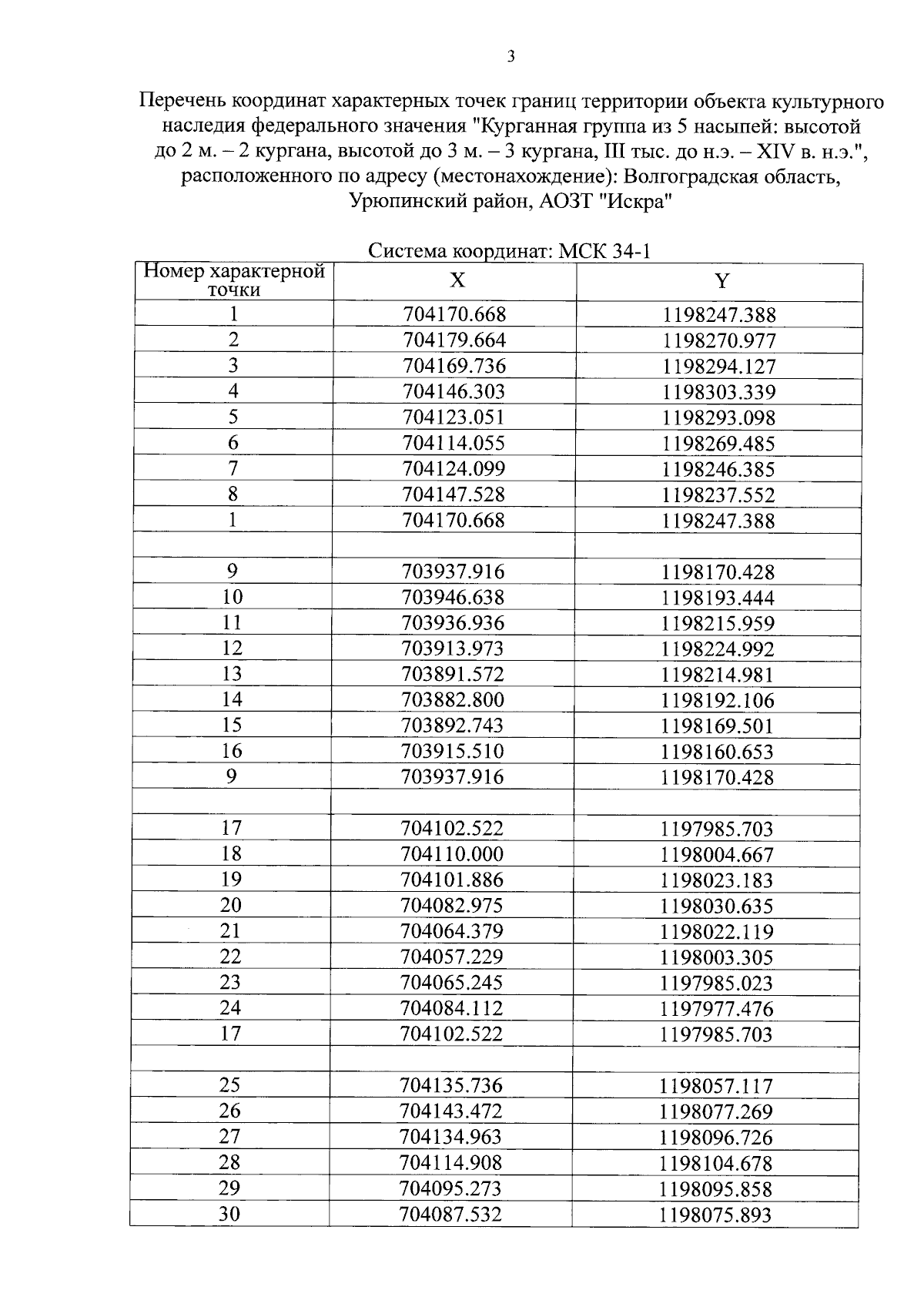
Приказ комитета государственной охраны объектов культурного наследия Волгоградской области от 28.01.2026 № 11-н
"Об утверждении границ и режима использования территории объектов культурного наследия федерального значения, являющихся памятниками археологии, расположенных на территории Урюпинского и Светлоярского районов Волгоградской области"
Номер опубликования: 3401202601290002
Дата опубликования: 29.01.2026
Страница №5 из 18:
Увеличить