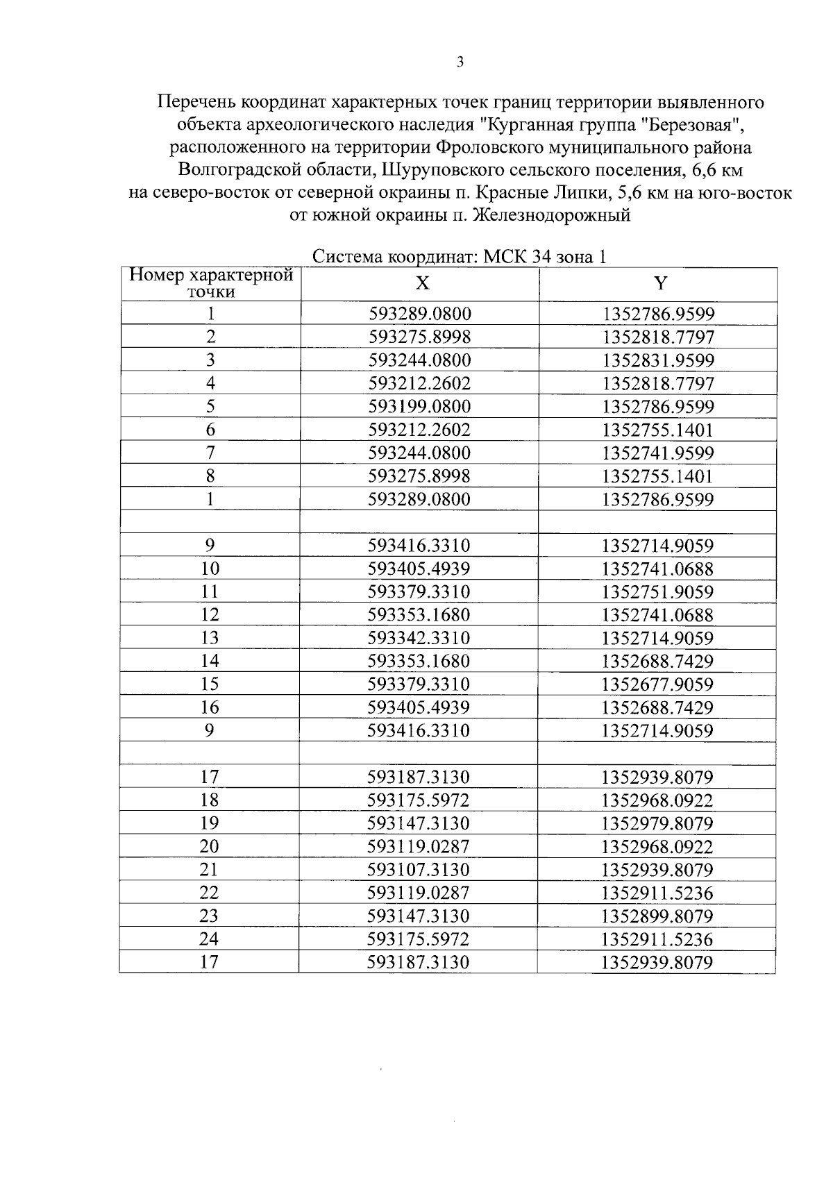
Приказ комитета государственной охраны объектов культурного наследия Волгоградской области от 17.02.2026 № 25-н
"Об утверждении границ и режима использования территории выявленного объекта археологического наследия "Курганная группа "Березовая", расположенного на территории Фроловского муниципального района Волгоградской области, Шуруповского сельского поселения, 6,6 км на северо-восток от северной окраины п. Красные Липки, 5,6 км на юго-восток от южной окраины п. Железнодорожный"
"Об утверждении границ и режима использования территории выявленного объекта археологического наследия "Курганная группа "Березовая", расположенного на территории Фроловского муниципального района Волгоградской области, Шуруповского сельского поселения, 6,6 км на северо-восток от северной окраины п. Красные Липки, 5,6 км на юго-восток от южной окраины п. Железнодорожный"
Номер опубликования: 3401202602180004
Дата опубликования:
18.02.2026
