Официальное опубликование правовых актов
ОФИЦИАЛЬНОЕ ОПУБЛИКОВАНИЕ
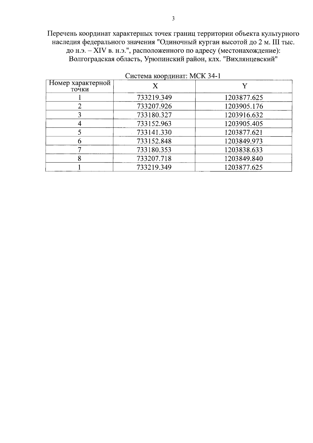
Приказ комитета государственной охраны объектов культурного наследия Волгоградской области от 18.02.2026 № 26-н
"Об утверждении границ и режима использования территории объектов культурного наследия федерального значения, являющихся памятниками археологии, расположенных на территории Урюпинского района Волгоградской области"
Номер опубликования: 3401202602190009
Дата опубликования: 19.02.2026
Страница №5 из 33:
Увеличить