Приказ комитета государственной охраны объектов культурного наследия Волгоградской области от 26.02.2026 № 35-н
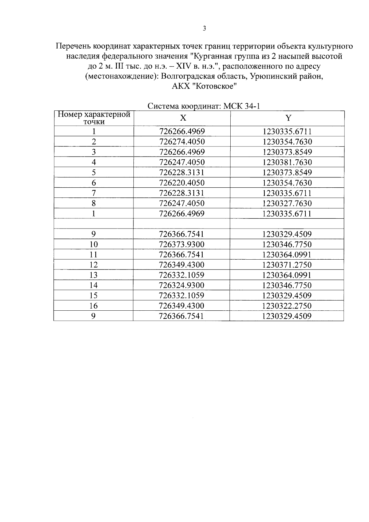
"Об утверждении границ и режима использования территории объектов культурного наследия федерального значения, являющихся памятниками археологии, расположенных на территории Урюпинского района Волгоградской области"
"Об утверждении границ и режима использования территории объектов культурного наследия федерального значения, являющихся памятниками археологии, расположенных на территории Урюпинского района Волгоградской области"
Номер опубликования: 3401202602270001
Дата опубликования:
27.02.2026
