Официальное опубликование правовых актов
ОФИЦИАЛЬНОЕ ОПУБЛИКОВАНИЕ
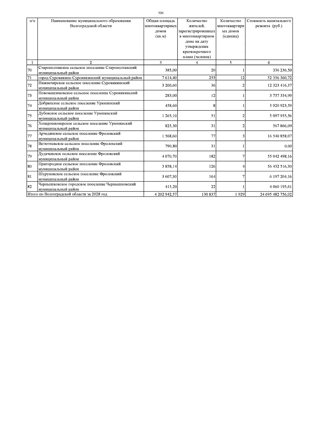
Приказ комитета жилищно-коммунального хозяйства Волгоградской области от 27.02.2026 № 20-ОД
"О внесении изменений в приказ комитета жилищно-коммунального хозяйства Волгоградской области от 30 января 2025 г. № 9-ОД "Об утверждении краткосрочного плана реализации региональной программы "Капитальный ремонт общего имущества в многоквартирных домах, расположенных на территории Волгоградской области", утвержденной постановлением Правительства Волгоградской области от 31 декабря 2013 г. № 812-п, на 2026-2028 годы"
Номер опубликования: 3401202603020004
Дата опубликования: 02.03.2026
Страница №507 из 507:
Увеличить