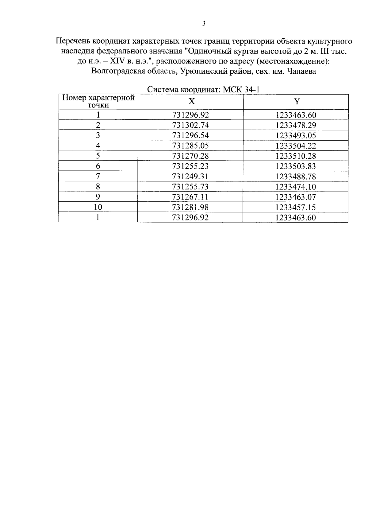
Приказ комитета государственной охраны объектов культурного наследия Волгоградской области от 07.04.2026 № 50-н
"Об утверждении границ и режима использования территории объектов культурного наследия федерального значения, являющихся памятниками археологии, расположенных на территории Урюпинского района Волгоградской области"
"Об утверждении границ и режима использования территории объектов культурного наследия федерального значения, являющихся памятниками археологии, расположенных на территории Урюпинского района Волгоградской области"
Номер опубликования: 3401202604080001
Дата опубликования:
08.04.2026
