Официальное опубликование правовых актов
ОФИЦИАЛЬНОЕ ОПУБЛИКОВАНИЕ
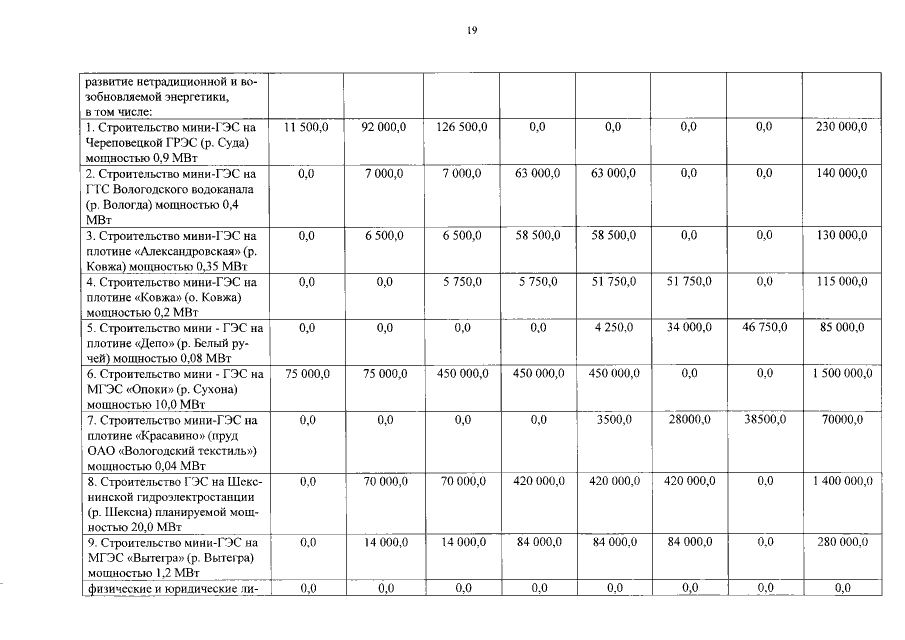
Постановление Правительства Вологодской области от 19.11.2018 № 1048
"О внесении изменений в постановление Правительства области от 28 октября 2013 года № 1107"
Номер опубликования: 3500201811210011
Дата опубликования: 21.11.2018
Страница №19 из 24:
Увеличить