Официальное опубликование правовых актов
ОФИЦИАЛЬНОЕ ОПУБЛИКОВАНИЕ
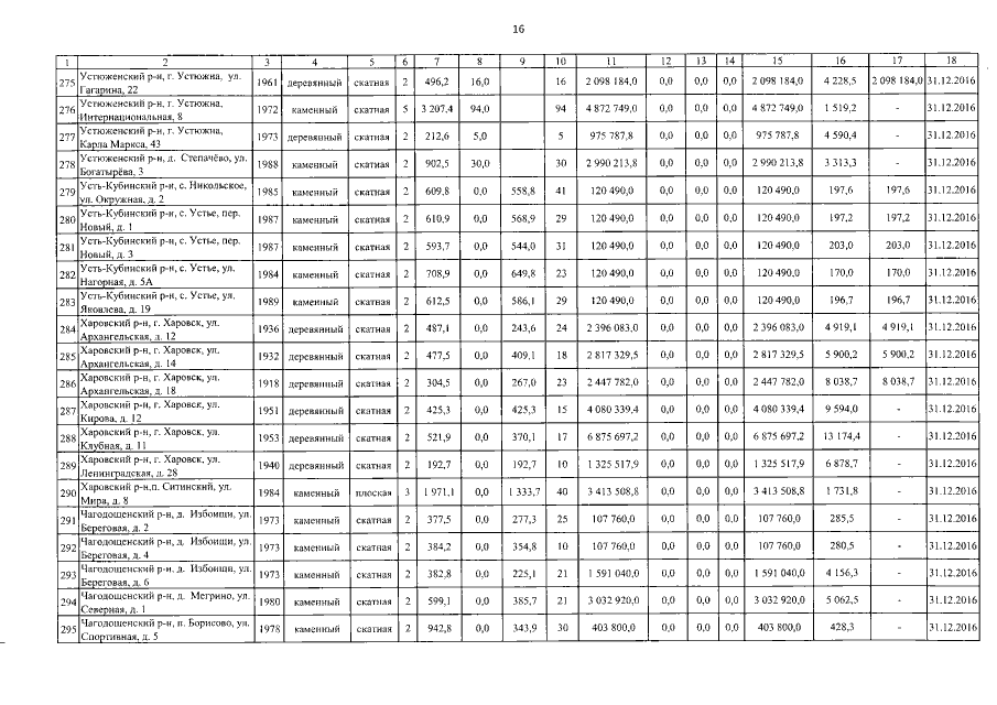
Постановление Правительства Вологодской области от 24.12.2018 № 1162
"О внесении изменения в постановление Правительства области от 8 февраля 2016 года № 100"
Номер опубликования: 3500201812250035
Дата опубликования: 25.12.2018
Страница №16 из 128:
Увеличить