Официальное опубликование правовых актов
ОФИЦИАЛЬНОЕ ОПУБЛИКОВАНИЕ
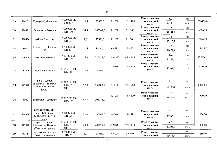
Постановление Правительства Вологодской области от 18.02.2019 № 153
"О внесении изменений в постановление Правительства области от 28 октября 2013 года № 1100"
Номер опубликования: 3500201902200010
Дата опубликования: 20.02.2019
Страница №161 из 570:
Увеличить