Официальное опубликование правовых актов
ОФИЦИАЛЬНОЕ ОПУБЛИКОВАНИЕ
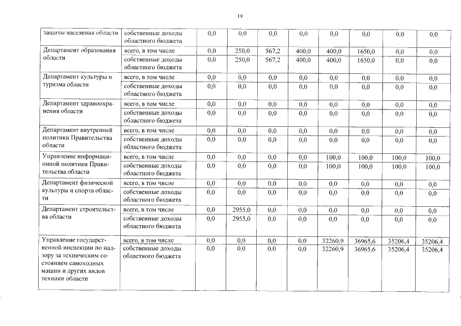
Постановление Правительства Вологодской области от 18.02.2019 № 140
"О внесении изменений в постановление Правительства области от 22 октября 2012 года № 1220"
Номер опубликования: 3500201902200017
Дата опубликования: 20.02.2019
Страница №19 из 53:
Увеличить