Официальное опубликование правовых актов
ОФИЦИАЛЬНОЕ ОПУБЛИКОВАНИЕ
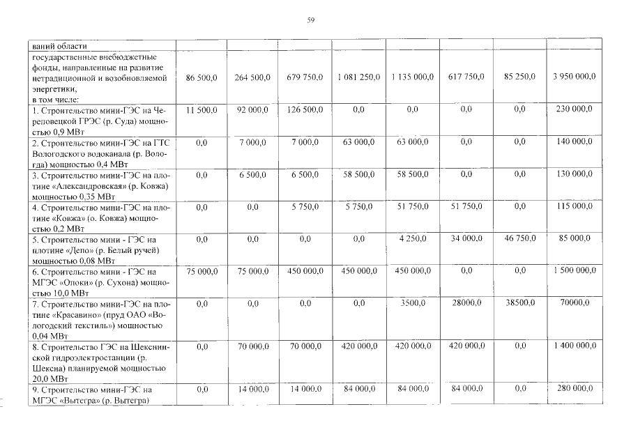
Постановление Правительства Вологодской области от 18.03.2019 № 260
"О внесении изменений в постановление Правительства области от 28 октября 2013 года № 1107"
Номер опубликования: 3500201903190014
Дата опубликования: 19.03.2019
Страница №59 из 87:
Увеличить