Официальное опубликование правовых актов
ОФИЦИАЛЬНОЕ ОПУБЛИКОВАНИЕ
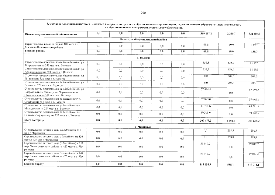
Постановление Правительства Вологодской области от 25.03.2019 № 285
"О внесении изменений в постановление Правительства области от 28 октября 2013 года № 1105"
Номер опубликования: 3500201903260001
Дата опубликования: 26.03.2019
Страница №200 из 266:
Увеличить