Официальное опубликование правовых актов
ОФИЦИАЛЬНОЕ ОПУБЛИКОВАНИЕ
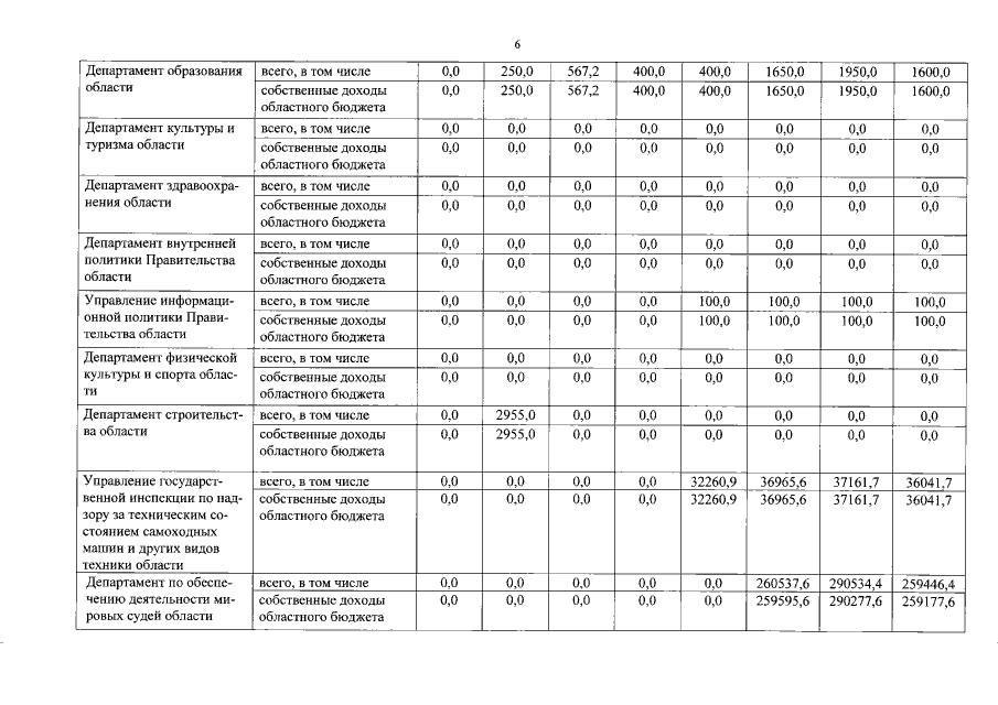
Постановление Правительства Вологодской области от 08.04.2019 № 349
"О внесении изменений в постановление Правительства области от 22 октября 2012 года № 1220"
Номер опубликования: 3500201904100004
Дата опубликования: 10.04.2019
Страница №6 из 19:
Увеличить