Официальное опубликование правовых актов
ОФИЦИАЛЬНОЕ ОПУБЛИКОВАНИЕ
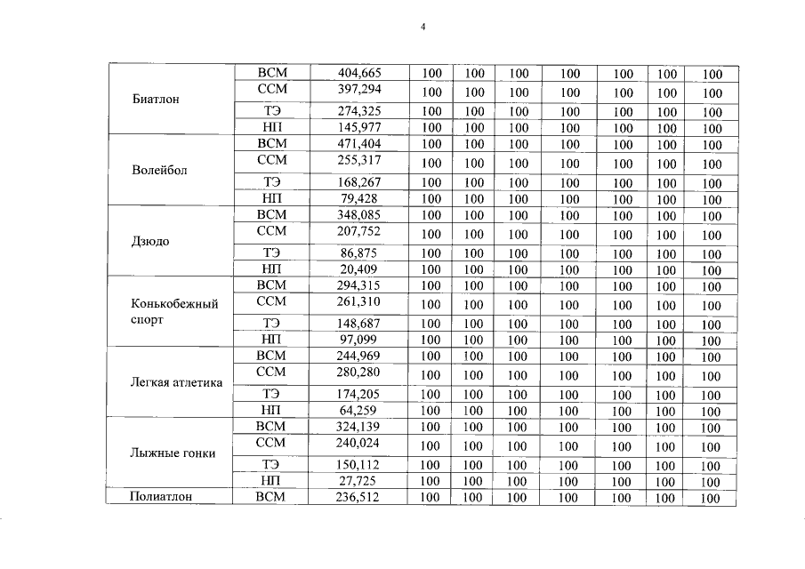
Постановление Правительства Вологодской области от 15.04.2019 № 364
"Об утверждении плана поэтапного обеспечения финансирования государственных организаций спортивной подготовки в соответствии с требованиями федеральных стандартов спортивной подготовки по видам спорта в полном объеме к 2025 году"
Номер опубликования: 3500201904160006
Дата опубликования: 16.04.2019
Страница №4 из 6:
Увеличить