Официальное опубликование правовых актов
ОФИЦИАЛЬНОЕ ОПУБЛИКОВАНИЕ
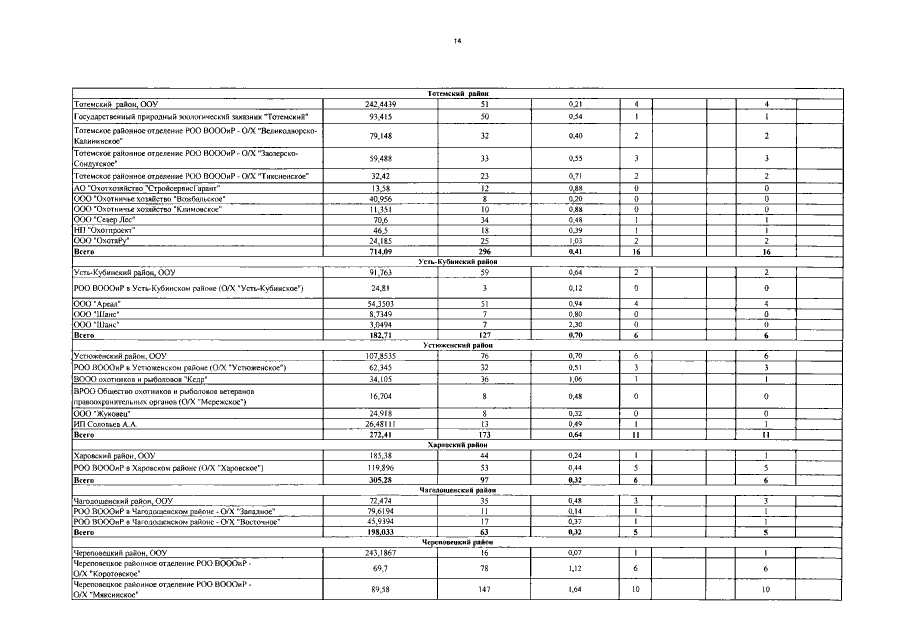
Постановление Губернатора Вологодской области от 24.06.2019 № 122
"Об утверждении лимита и квот добычи медведя бурого, барсука и выдры в сезоне охоты 2019-2020 года на территории Вологодской области, за исключением лимита и квот добычи охотничьих ресурсов, находящихся на особо охраняемых природных территориях федерального значения"
Номер опубликования: 3500201906250002
Дата опубликования: 25.06.2019
Страница №14 из 21:
Увеличить