Официальное опубликование правовых актов
ОФИЦИАЛЬНОЕ ОПУБЛИКОВАНИЕ
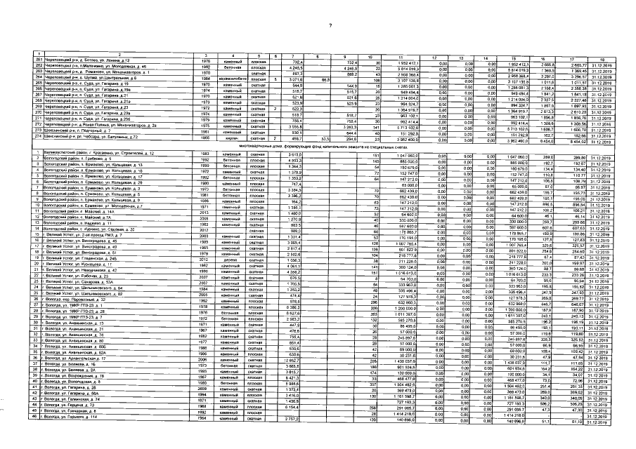
Постановление Правительства Вологодской области от 07.10.2019 № 940
"О внесении изменений в постановление Правительства области от 26 февраля 2018 года № 184"
Номер опубликования: 3500201910090004
Дата опубликования: 09.10.2019
Страница №7 из 39:
Увеличить