Официальное опубликование правовых актов
ОФИЦИАЛЬНОЕ ОПУБЛИКОВАНИЕ
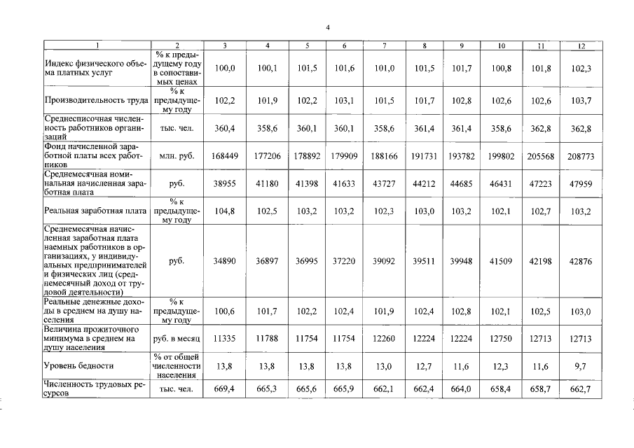
Постановление Правительства Вологодской области от 28.10.2019 №1014 "О прогнозе социально-экономического развития Вологодской области на среднесрочный период 2020-2022 годов"
Номер опубликования: 3500201910290009
Дата опубликования: 29.10.2019
Страница №4 из 74:
Увеличить