Официальное опубликование правовых актов
ОФИЦИАЛЬНОЕ ОПУБЛИКОВАНИЕ
Постановление Правительства Вологодской области от 11.09.2024 № 1114
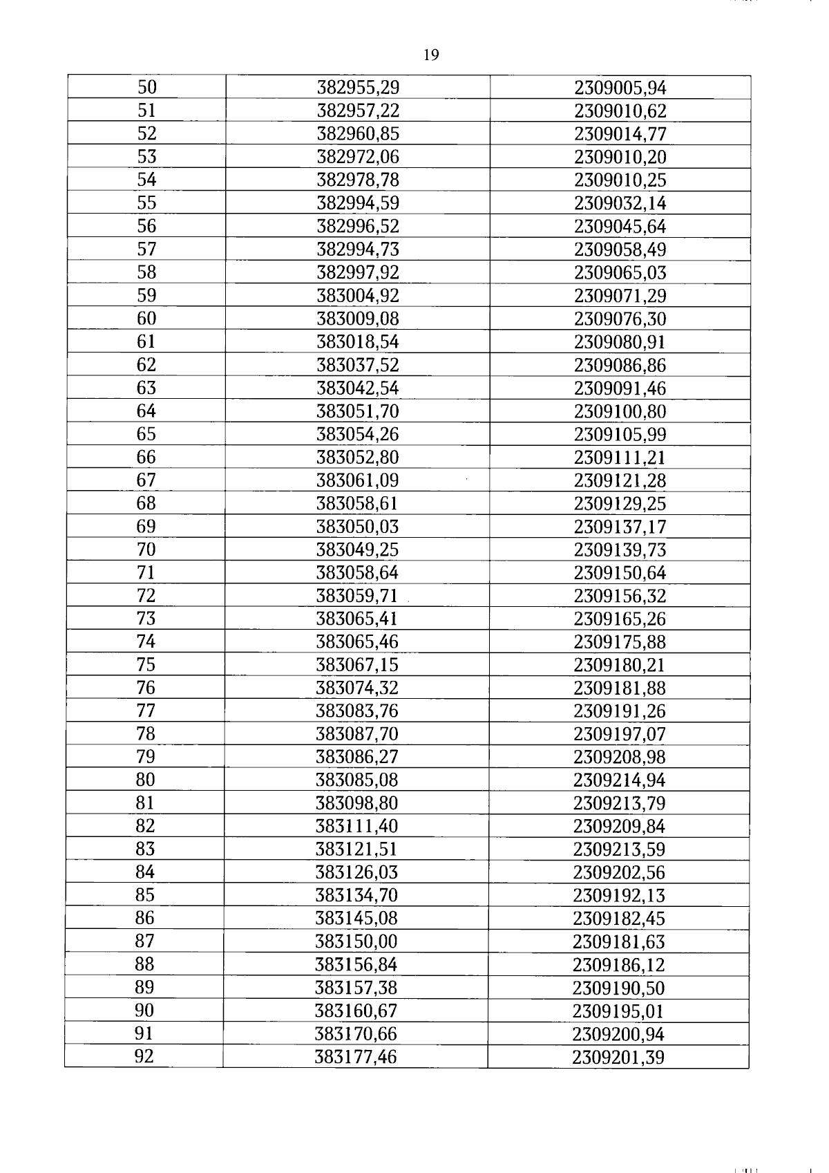
"Об утверждении границ зон охраны объекта культурного наследия регионального значения "Церковь Воздвижения Креста Господня, 1797-1809 гг., каменная", 1797-1809 гг., расположенного по адресу: Вологодский муниципальный округ, с. Воздвиженье, режимов использования земель и земельных участков и требований к градостроительным регламентам в границах территорий указанных зон"
Номер опубликования: 3500202409130014
Дата опубликования: 13.09.2024
Страница №19 из 33:
Увеличить