Официальное опубликование правовых актов
ОФИЦИАЛЬНОЕ ОПУБЛИКОВАНИЕ
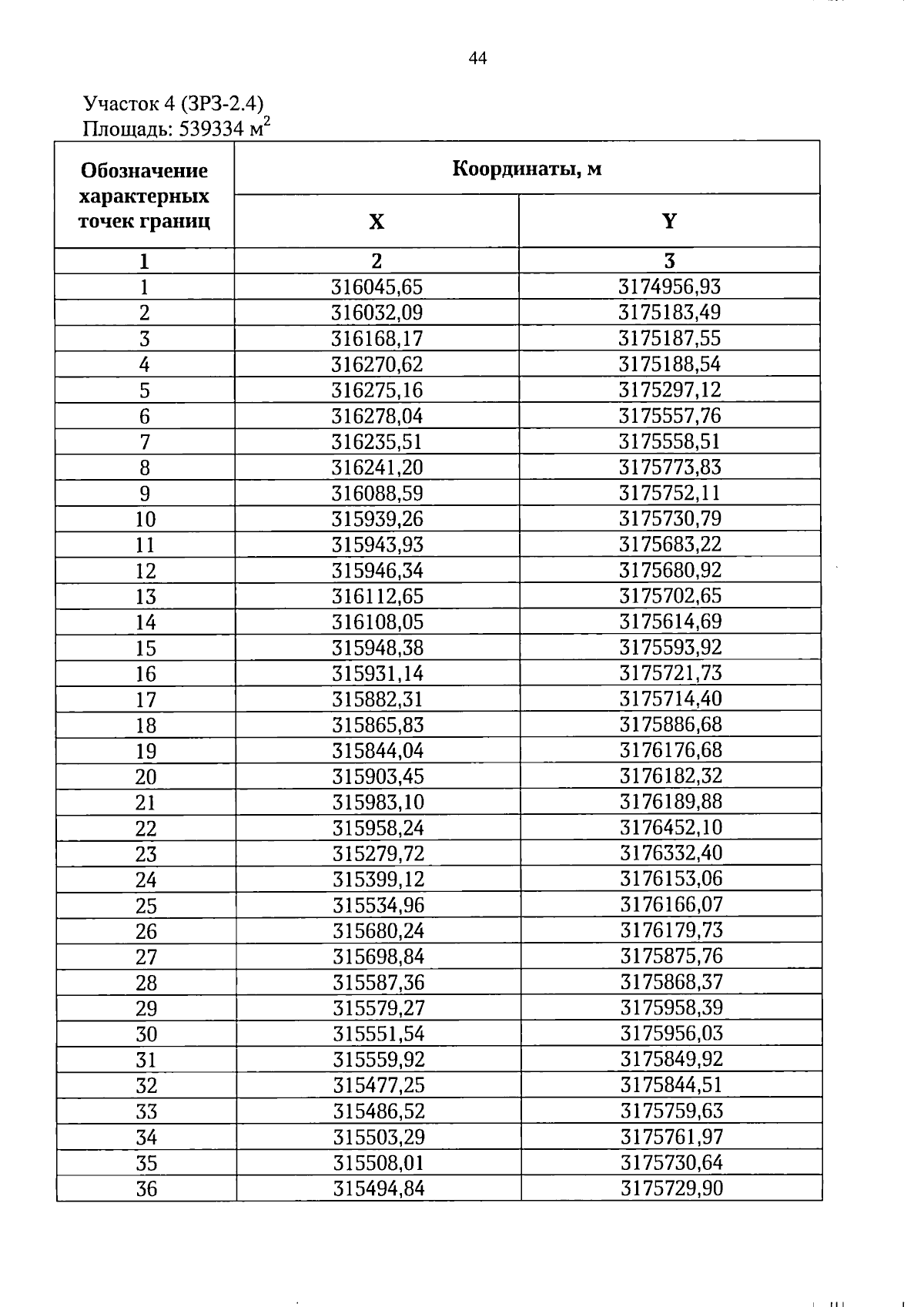
Постановление Правительства Вологодской области от 24.02.2025 № 266
"Об утверждении границы объединенной зоны охраны объектов культурного наследия, расположенных на территории города Грязовца Вологодской области, режимов использования земель и земельных участков и требований к градостроительным регламентам в границах территории данной зоны"
Номер опубликования: 3500202502270026
Дата опубликования: 27.02.2025
Страница №44 из 305:
Увеличить