Официальное опубликование правовых актов
ОФИЦИАЛЬНОЕ ОПУБЛИКОВАНИЕ
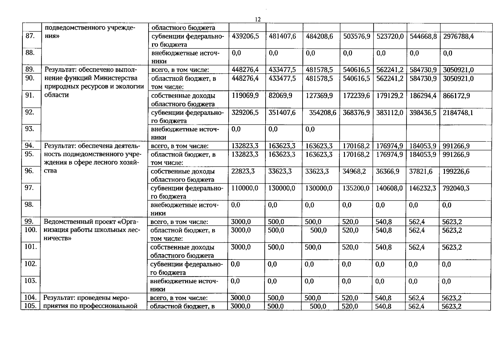
Постановление Правительства Вологодской области от 22.04.2025 № 614
"О финансовом обеспечении мероприятий и о внесении изменений в постановление Правительства области от 1 апреля 2019 года № 315"
Номер опубликования: 3500202504230003
Дата опубликования: 23.04.2025
Страница №12 из 27:
Увеличить