Официальное опубликование правовых актов
ОФИЦИАЛЬНОЕ ОПУБЛИКОВАНИЕ
Постановление Правительства Вологодской области от 06.05.2025 № 680
"О внесении изменений в постановление Правительства области от 27 мая 2019 года № 495"
Номер опубликования: 3500202505070010
Дата опубликования: 07.05.2025
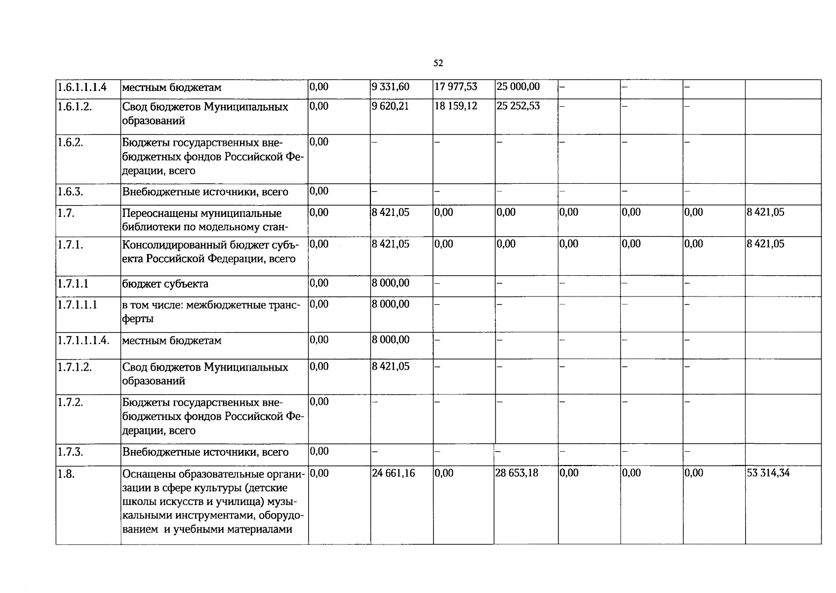
Страница №52 из 65:
Увеличить