Официальное опубликование правовых актов
ОФИЦИАЛЬНОЕ ОПУБЛИКОВАНИЕ
Постановление Правительства Вологодской области от 04.08.2025 № 1105
"О внесении изменений в постановление Правительства области от 7 октября 2019 года № 938"
Номер опубликования: 3500202508060003
Дата опубликования: 06.08.2025
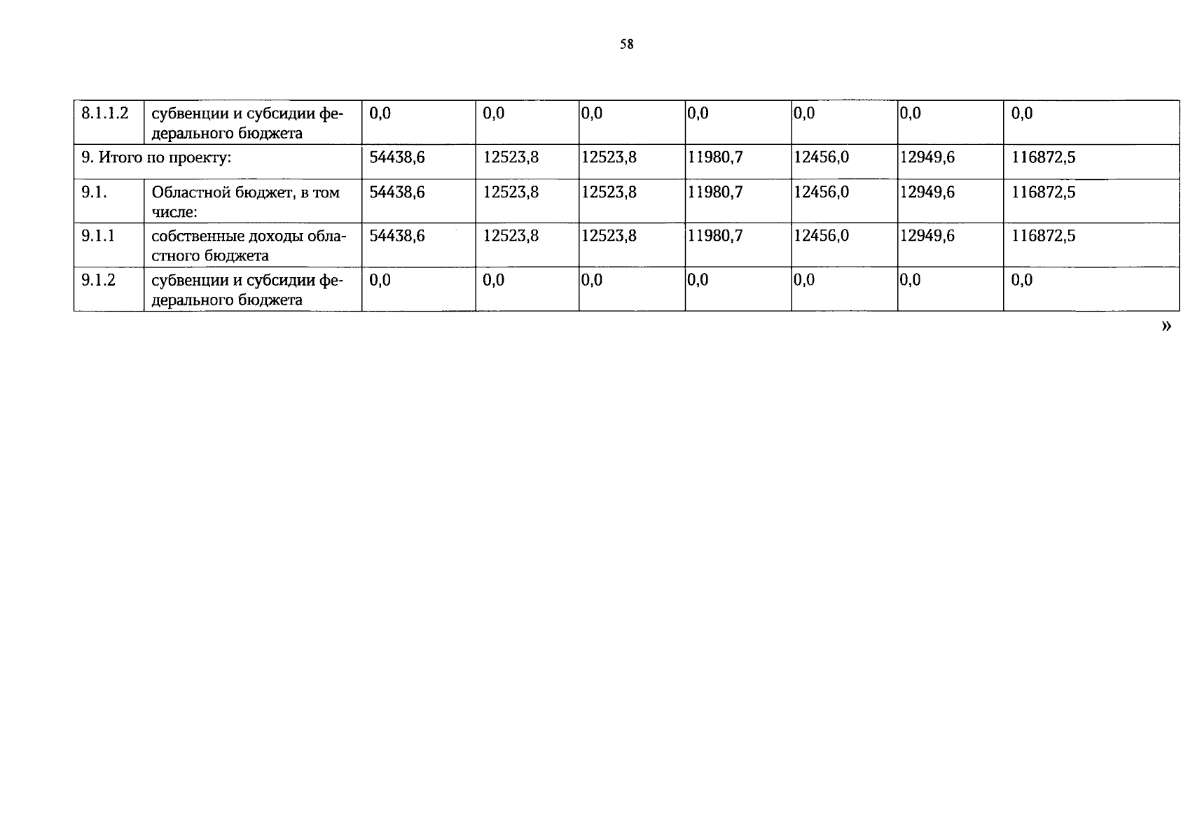
Страница №58 из 63:
Увеличить