Официальное опубликование правовых актов
ОФИЦИАЛЬНОЕ ОПУБЛИКОВАНИЕ
Постановление Правительства Вологодской области от 01.10.2025 № 1363
"О внесении изменений в постановление Правительства области от 31 мая 2019 года № 503"
Номер опубликования: 3500202510010002
Дата опубликования: 01.10.2025
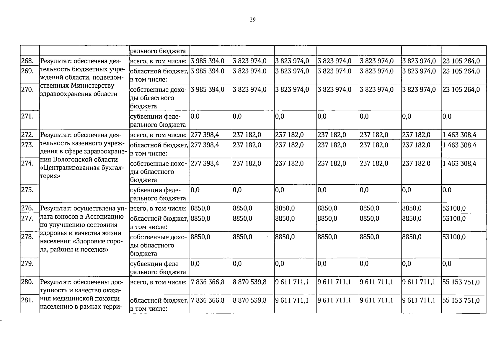
Страница №29 из 93:
Увеличить