Официальное опубликование правовых актов
ОФИЦИАЛЬНОЕ ОПУБЛИКОВАНИЕ
Постановление Правительства Вологодской области от 25.11.2025 № 1593
"О внесении изменений в постановление Правительства области от 26 октября 2020 года № 1267"
Номер опубликования: 3500202511250014
Дата опубликования: 25.11.2025
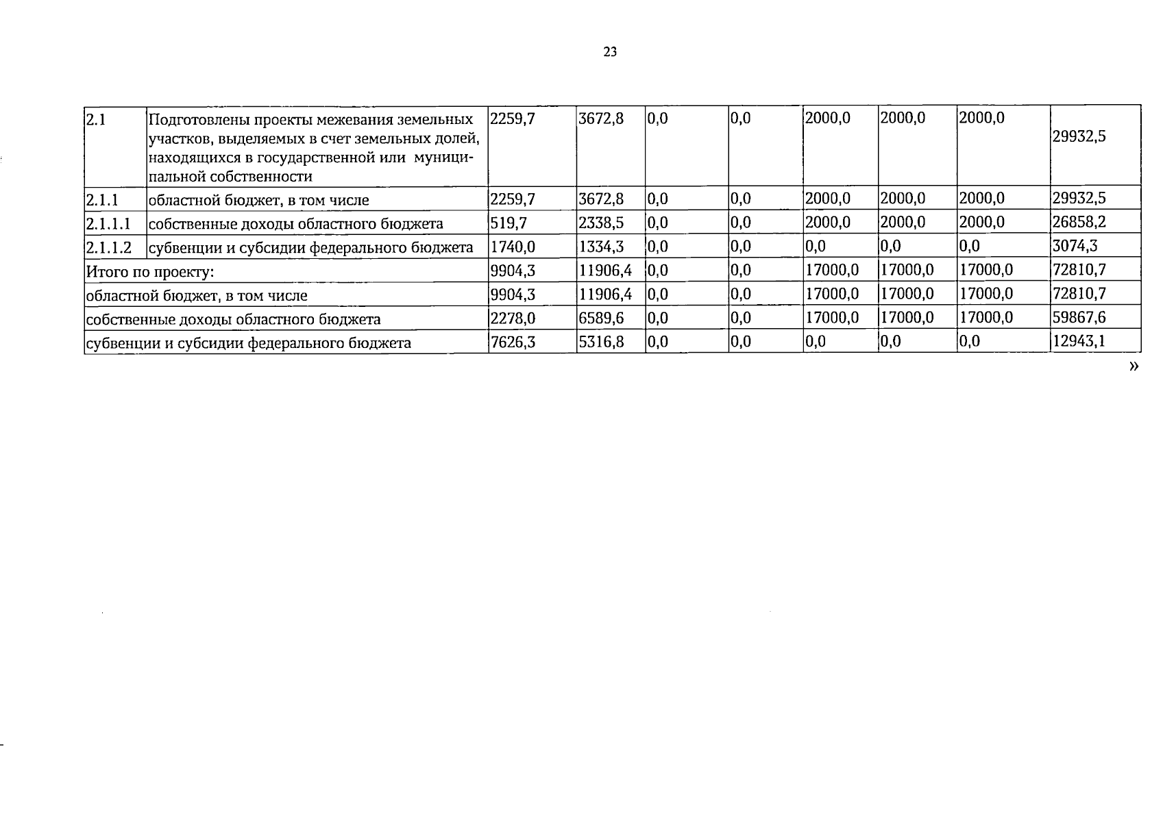
Страница №23 из 31:
Увеличить