Официальное опубликование правовых актов
ОФИЦИАЛЬНОЕ ОПУБЛИКОВАНИЕ
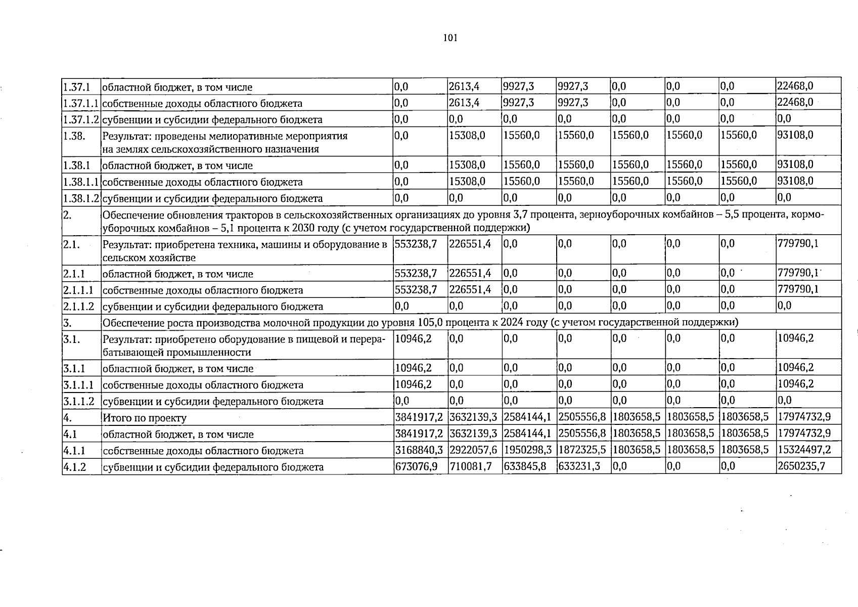
Постановление Правительства Вологодской области от 10.12.2025 № 1673
"О внесении изменений в постановление Правительства области от 26 августа 2019 года № 791"
Номер опубликования: 3500202512100006
Дата опубликования: 10.12.2025
Страница №101 из 130:
Увеличить