Официальное опубликование правовых актов
ОФИЦИАЛЬНОЕ ОПУБЛИКОВАНИЕ
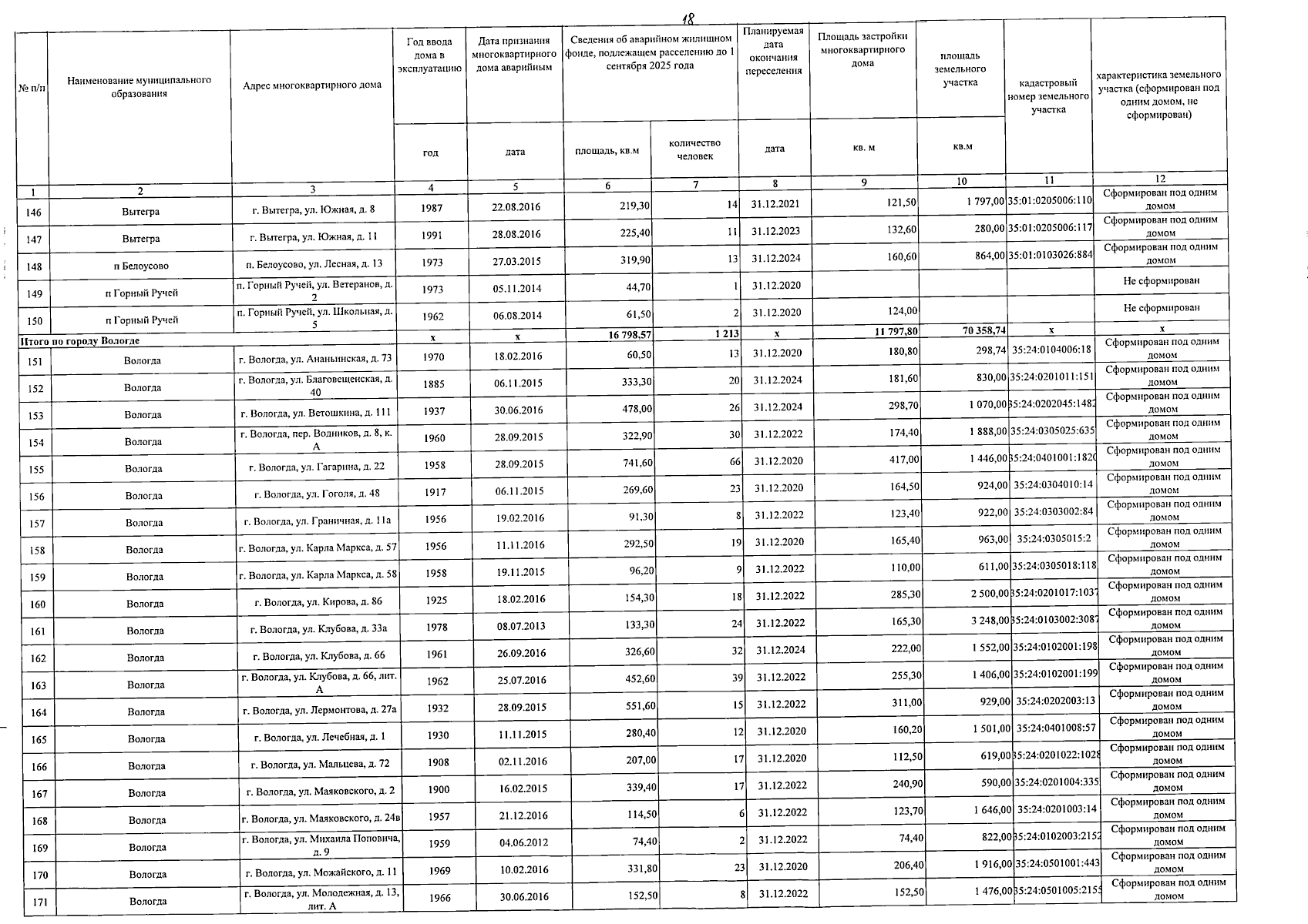
Постановление Правительства Вологодской области от 26.01.2026 № 46
"О внесении изменений в постановление Правительства области от 1 апреля 2019 года № 322"
Номер опубликования: 3500202601260002
Дата опубликования: 26.01.2026
Страница №18 из 37:
Увеличить