Официальное опубликование правовых актов
ОФИЦИАЛЬНОЕ ОПУБЛИКОВАНИЕ
Постановление Правительства Вологодской области от 06.02.2026 № 132
"О внесении изменений в постановление Правительства области от 7 октября 2019 года № 939"
Номер опубликования: 3500202602090001
Дата опубликования: 09.02.2026
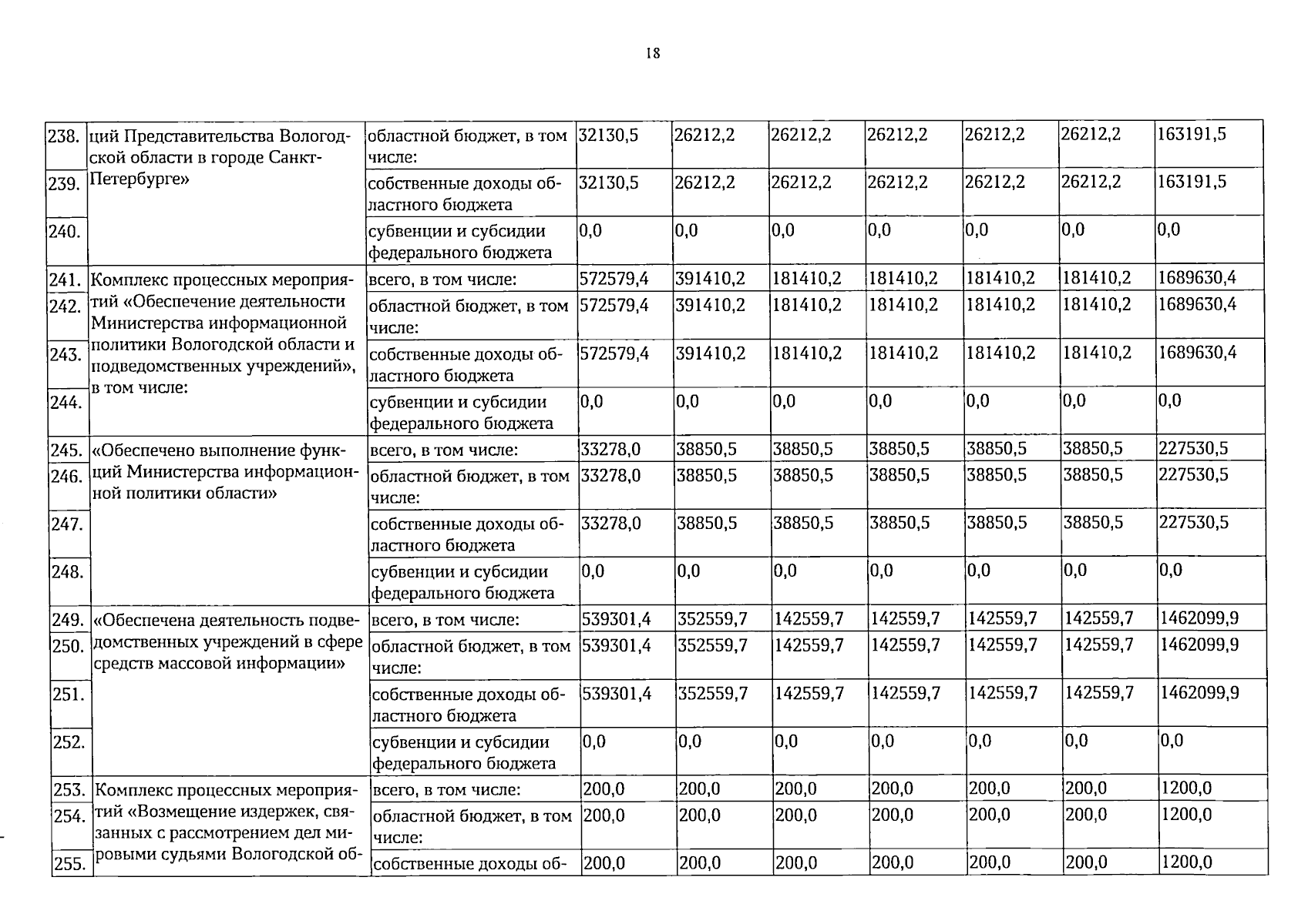
Страница №18 из 78:
Увеличить