Официальное опубликование правовых актов
ОФИЦИАЛЬНОЕ ОПУБЛИКОВАНИЕ
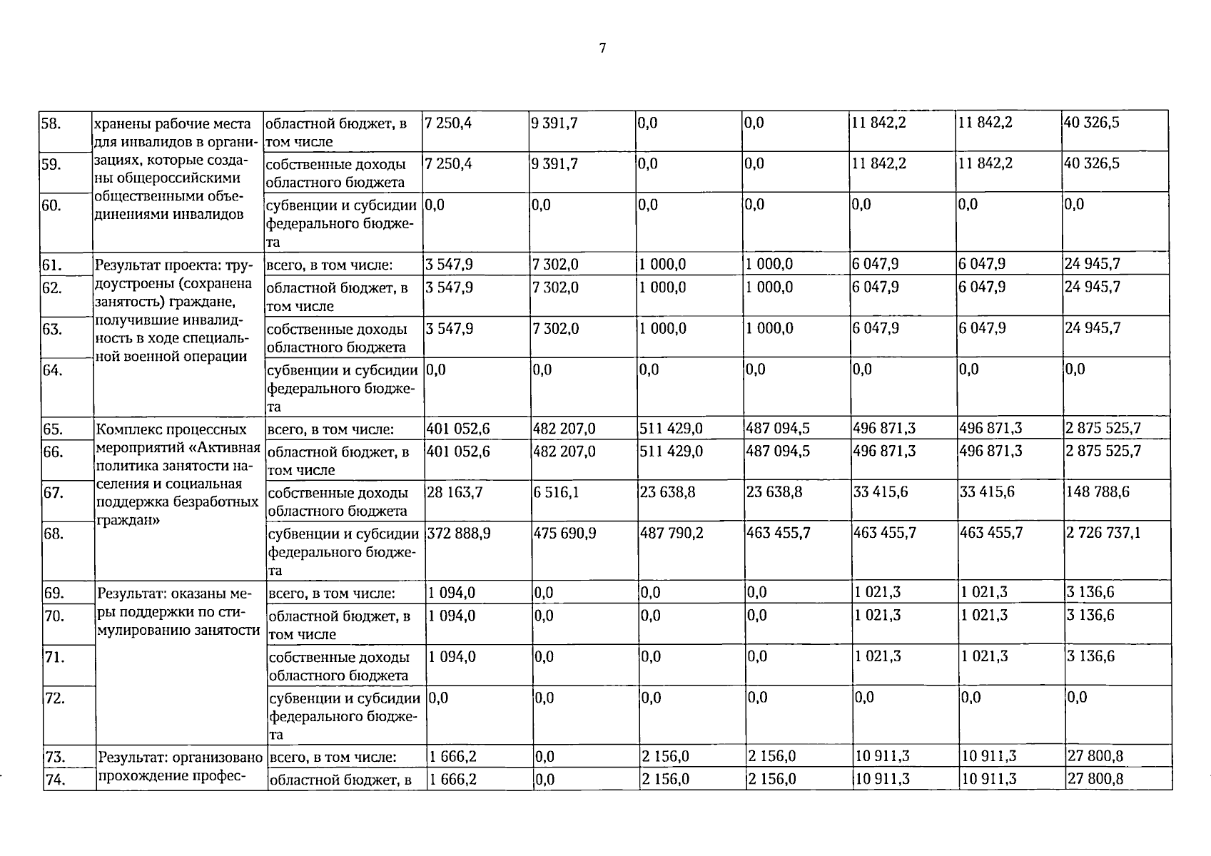
Постановление Правительства Вологодской области от 11.02.2026 № 156
"О внесении изменений в постановление Правительства области от 22 апреля 2019 года № 394"
Номер опубликования: 3500202602110006
Дата опубликования: 11.02.2026
Страница №7 из 40:
Увеличить