Официальное опубликование правовых актов
ОФИЦИАЛЬНОЕ ОПУБЛИКОВАНИЕ
Постановление Правительства Вологодской области от 04.03.2026 № 238
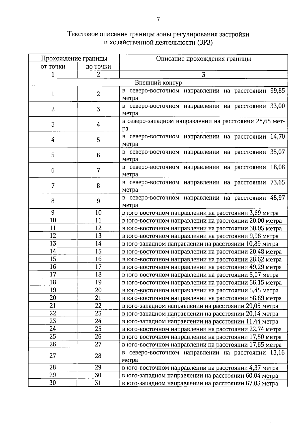
"Об утверждении границ зон охраны объекта культурного наследия регионального значения "Ансамбль Сямского Богородице-Рождественского монастыря, XVIII – XIX вв.", XVIII – XIX вв., расположенного по адресу: Вологодский муниципальный округ, д. Сяма, ограничений использования земельных участков, водных объектов и их частей, требований к градостроительным регламентам в границах территории данных зон"
Номер опубликования: 3500202603040002
Дата опубликования: 04.03.2026
Страница №7 из 16:
Увеличить