Официальное опубликование правовых актов
ОФИЦИАЛЬНОЕ ОПУБЛИКОВАНИЕ
Постановление Правительства Вологодской области от 20.03.2026 № 305
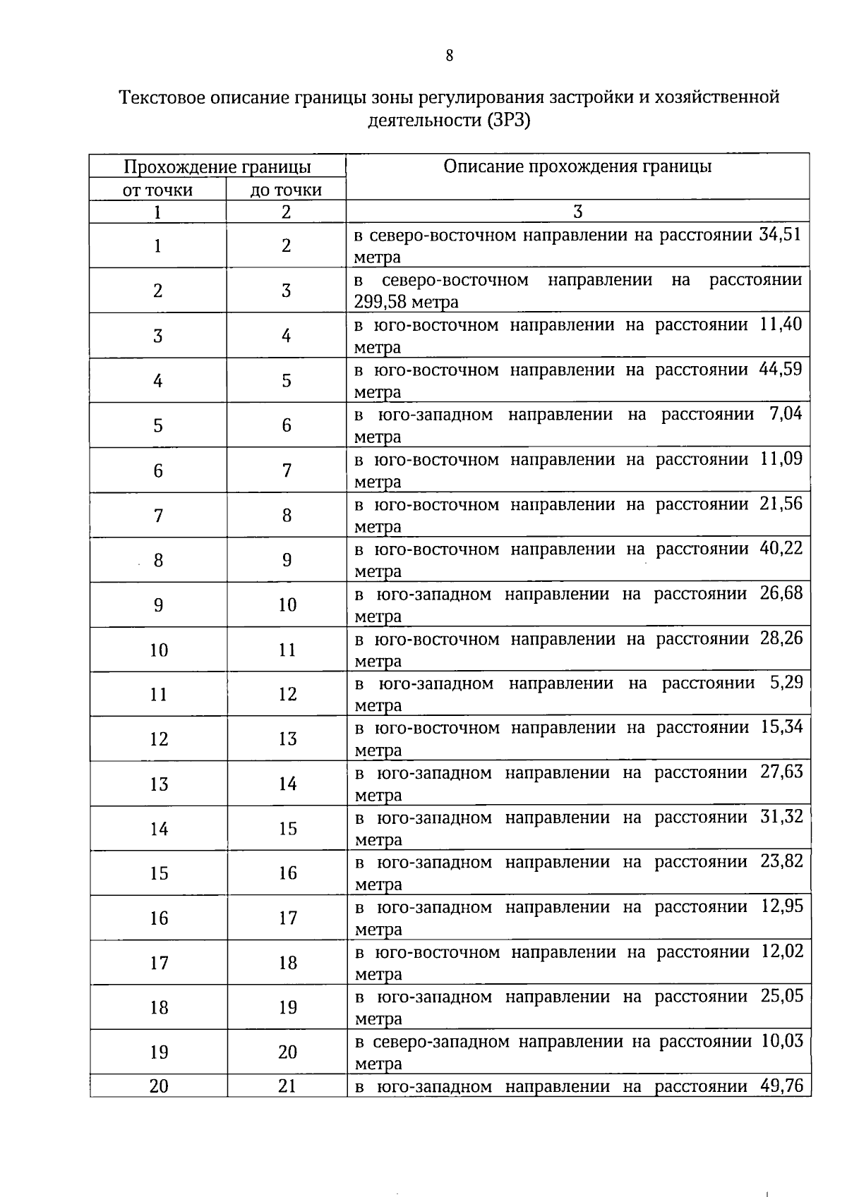
"Об утверждении границ зон охраны объекта культурного наследия федерального значения "Церковь Михаила Архангела", XVIII в., расположенного по адресу: Сокольский муниципальный округ, с. Архангельское, 80А"
Номер опубликования: 3500202603200002
Дата опубликования: 20.03.2026
Страница №8 из 23:
Увеличить