Официальное опубликование правовых актов
ОФИЦИАЛЬНОЕ ОПУБЛИКОВАНИЕ
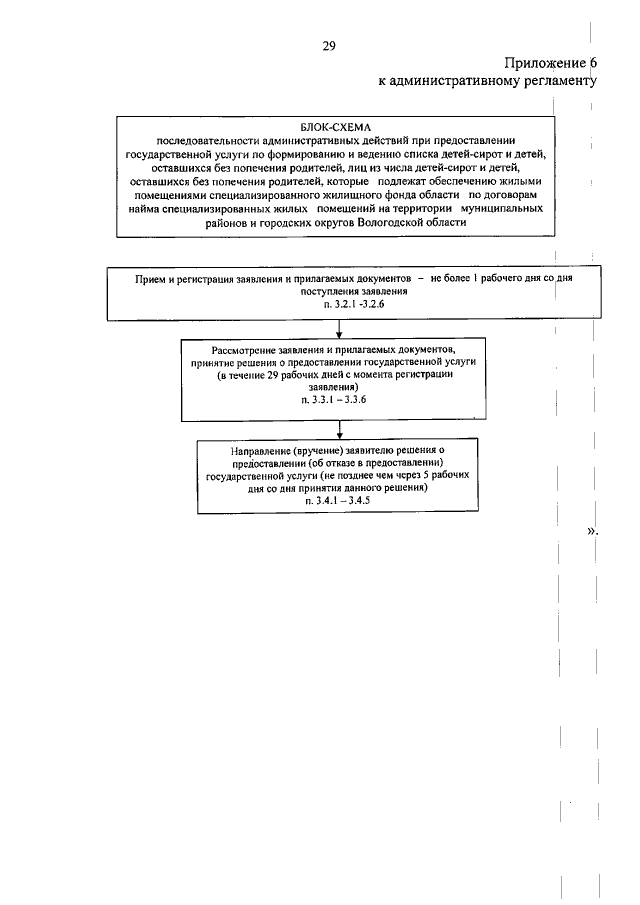
Приказ Департамента строительства Вологодской области от 29.08.2018 № 133
"О внесении изменения в приказ Департамента строительства Вологодской области от 19 октября 2017 года № 196"
Номер опубликования: 3501201809030001
Дата опубликования: 03.09.2018
Страница №29 из 30:
Увеличить