Официальное опубликование правовых актов
ОФИЦИАЛЬНОЕ ОПУБЛИКОВАНИЕ
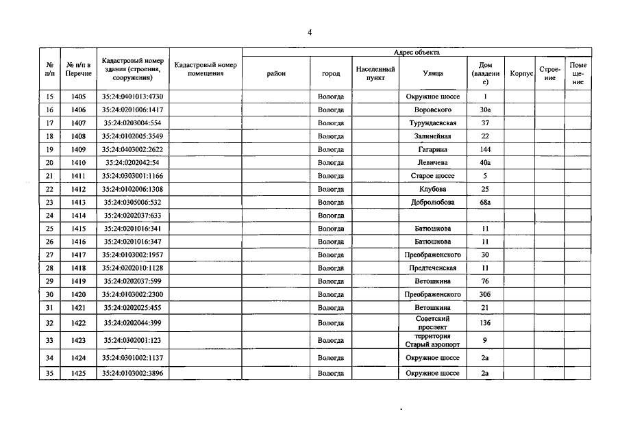
Приказ Департамента имущественных отношений Вологодской области от 13.12.2018 № 72-н
"О внесении изменений в распоряжение Департамента имущественных отношений области от 23.12.2015 № 2066-р"
Номер опубликования: 3501201812140011
Дата опубликования: 14.12.2018
Страница №4 из 21:
Увеличить