Официальное опубликование правовых актов
ОФИЦИАЛЬНОЕ ОПУБЛИКОВАНИЕ
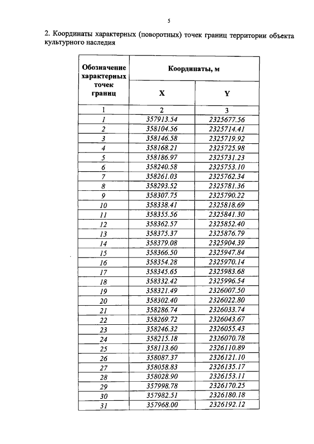
Приказ Комитета по охране объектов культурного наследия Вологодской области от 24.12.2018 № 435-О
"Об утверждении границ территорий объектов культурного наследия, расположенных на территории города Вологда"
Номер опубликования: 3501201812290035
Дата опубликования: 29.12.2018
Страница №5 из 7:
Увеличить