Официальное опубликование правовых актов
ОФИЦИАЛЬНОЕ ОПУБЛИКОВАНИЕ
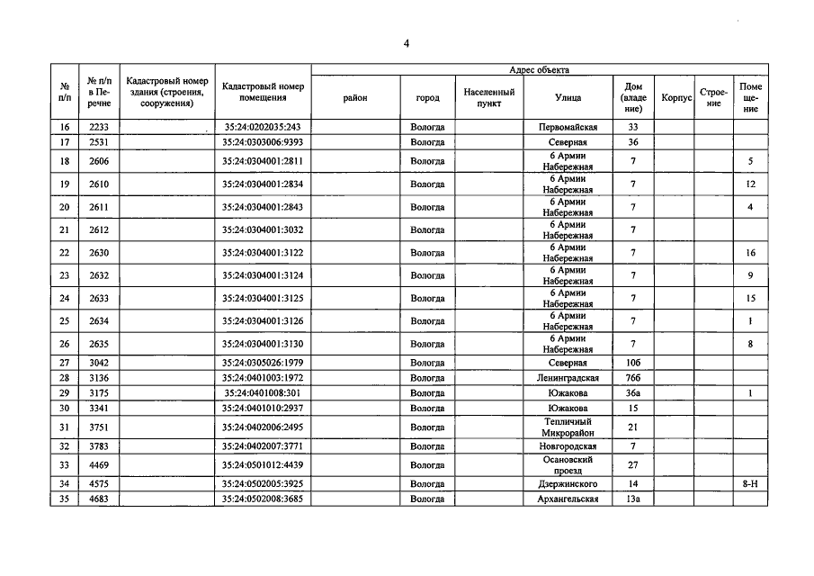
Приказ Департамента имущественных отношений Вологодской области от 11.03.2019 № 11-н
"О внесении изменений в приказ Департамента имущественных отношений области от 22.11.2017 № 63-н"
Номер опубликования: 3501201903110004
Дата опубликования: 11.03.2019
Страница №4 из 5:
Увеличить