Официальное опубликование правовых актов
ОФИЦИАЛЬНОЕ ОПУБЛИКОВАНИЕ
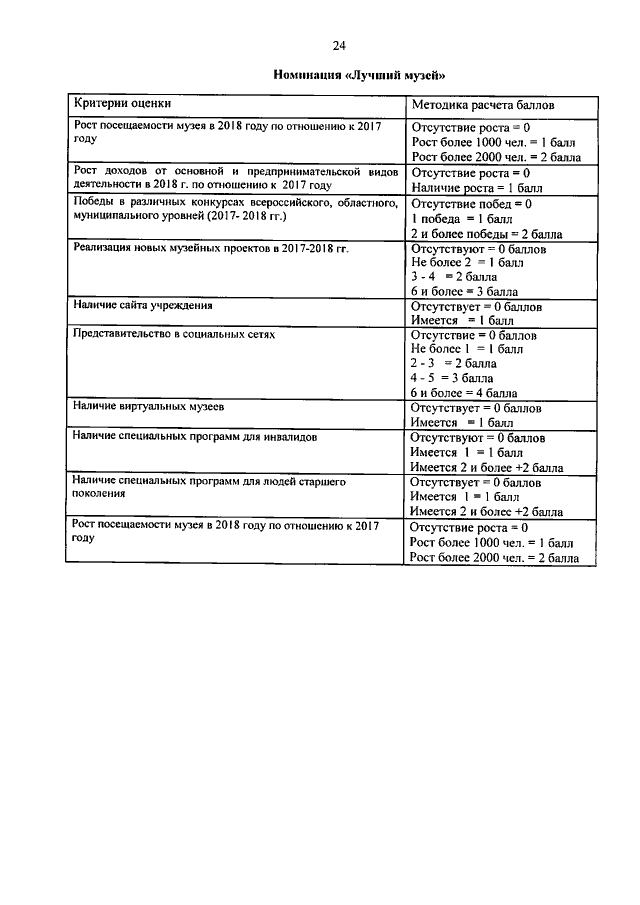
Приказ Департамента культуры и туризма Вологодской области от 08.07.2019 № 25
"О проведении областного конкурса "Лидеры туриндустрии Вологодской области - 2019"
Номер опубликования: 3501201907100001
Дата опубликования: 10.07.2019
Страница №24 из 24:
Увеличить