Официальное опубликование правовых актов
ОФИЦИАЛЬНОЕ ОПУБЛИКОВАНИЕ
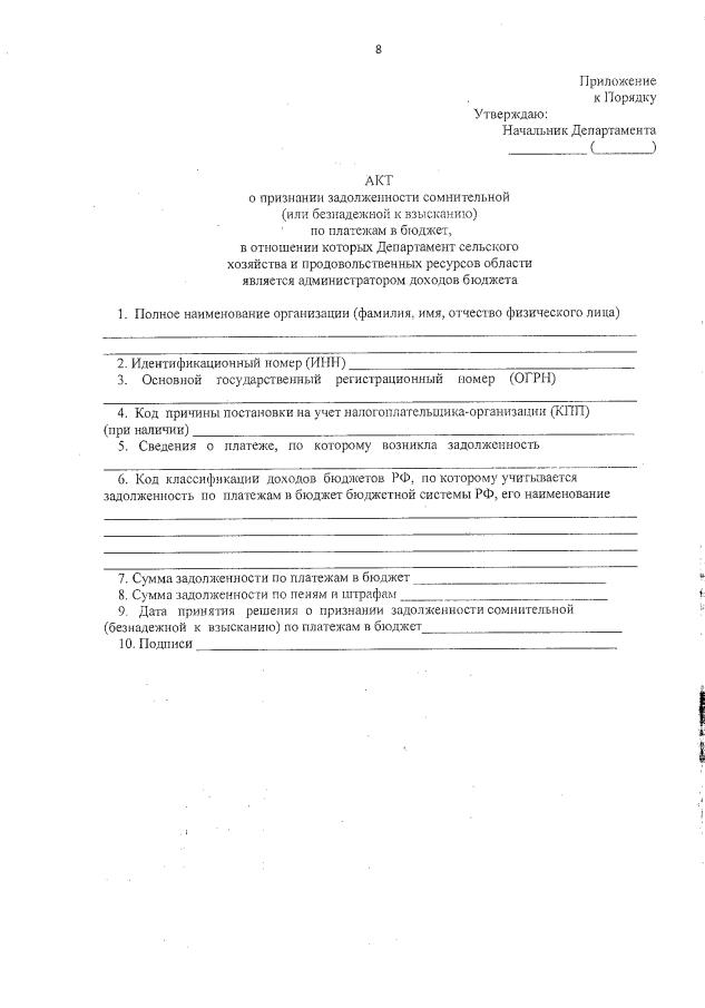
Приказ Департамента сельского хозяйства и продовольственных ресурсов Вологодской области от 07.11.2019 № 452
"О внесении изменений в приказ Департамента сельского хозяйства и продовольственных ресурсов области от 19 июля 2016 года № 389"
Номер опубликования: 3501201911080006
Дата опубликования: 08.11.2019
Страница №8 из 8:
Увеличить