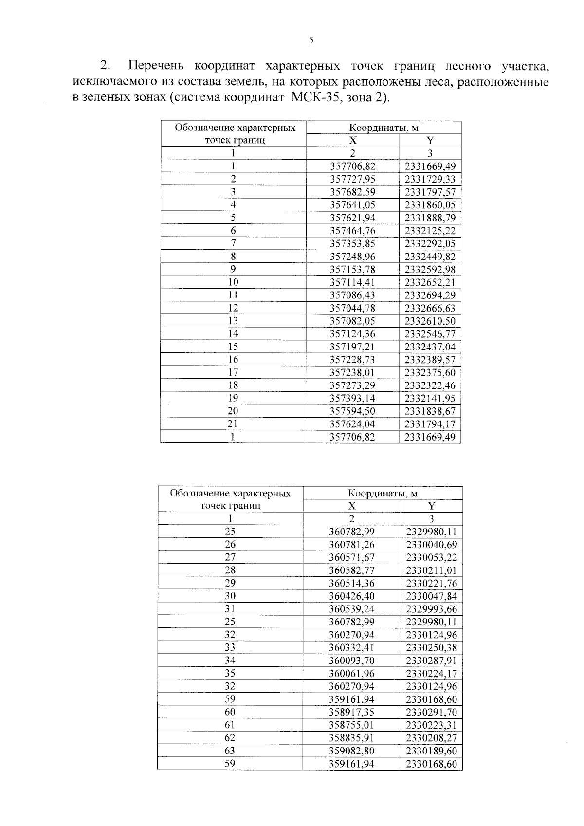
Приказ Министерства лесного комплекса Вологодской области от 30.09.2025 № 1186
"Об изменении границ земель, на которых расположены леса, расположенные в зеленых зонах, на территории Вологодского лесничества Вологодской области"
(Зарегистрирован 30.09.2025 № 1186)
"Об изменении границ земель, на которых расположены леса, расположенные в зеленых зонах, на территории Вологодского лесничества Вологодской области"
(Зарегистрирован 30.09.2025 № 1186)
Номер опубликования: 3501202510020003
Дата опубликования:
02.10.2025